近日,穩態強磁場實驗裝置(SHMFF)用戶清華大學張定、南方科技大學薛其坤研究團隊及合作者,借助SHMFF所屬水冷磁體WM5,通過電場調控技術,成功實現了鋰插層鐵硒樣品中超導態與鐵磁態在創紀錄高溫條件下的穩定共存。相關研究成果在線發表于《自然·通訊》(Nature Communications)。
高溫超導電性與鐵磁性作為兩種相互競爭的物理現象,其在同一材料體系中的共存被認為是實現新型量子功能器件的關鍵。張定和薛其坤研究團隊首先通過柵極調控對鐵硒(FeSe)薄膜進行了鋰離子注入,發現該體系不僅具有超導溫度為45 K的高溫超導電性,而且具有顯著的巡游鐵磁性,其居里溫度超過225 K。通過電場控制,團隊還可以在同一材料中實現無磁低溫超導態和高溫超導鐵磁態的來回切換。這一新型超導鐵磁材料的磁電阻和霍爾電阻在庫珀對凝聚過程中均展現出豐富的演化行為。
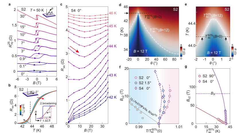
實驗中,研究團隊不僅開展了磁場條件下的電輸運測量,還利用掃描超導量子干涉裝置對樣品進行了高分辨率成像。結果表明,在超導轉變溫度以下,超導態與鐵磁態在空間上實現了穩定共存。此外,研究發現施加面內磁場能夠增強體系的超導性。為了進一步探究超導態在極強磁場下的行為,驗證超導與鐵磁性的強相互作用機制,并揭示非常規超導配對的可能性,研究團隊在SHMFF水冷磁體WM5中進行了測量(最高測量至35 T)。在極強磁場條件下,體系恢復至傳統的響應行為。這種非單調的響應暗示可能存在自旋極化的庫珀對,反映出鐵磁性與超導性的強耦合。值得注意的是,這種行為僅發生在±1.5°范圍內,這對實驗中的角度控制精度提出了極高要求。研究團隊在高場測量中使用的樣品桿配備了高精度角度調節裝置,能夠滿足對這一關鍵角度范圍的精準控制需求。
此外,密度泛函理論計算進一步指出,當鋰摻雜濃度達到約50%時,體系呈現鐵磁態,為實驗觀測提供了有力的理論支持。
此項研究不僅對鐵基超導體的配對機制具有重要意義,也為高溫超導電子學與高溫鐵磁自旋電子學的融合開辟了新途徑,進而推動低功耗器件的發展。
清華大學博士生胡祎、復旦大學博士生梁可一和南京大學博士生李婕為文章的共同第一作者,通訊作者為清華大學張定副教授、南方科技大學薛其坤教授、南京大學盧毅教授、復旦大學王熠華研究員。文章的合作者還包括中國人民大學雷和暢教授和博士生孟凡玉,復旦大學博士生李智杰、張若舟,清華大學博士生王霽遠、溫匯楨,中國科學院合肥物質院強磁場中心張警蕾研究員和碩士生蔡佳強。
論文鏈接:https://doi.org/10.1038/s41467-025-62624-x

圖1. 電場調控下鐵硒樣品在非磁性超導態與高溫超導鐵磁態間的可逆轉換

圖2. 在面內磁場下增強的超導性與高場下輸運測量結果
